
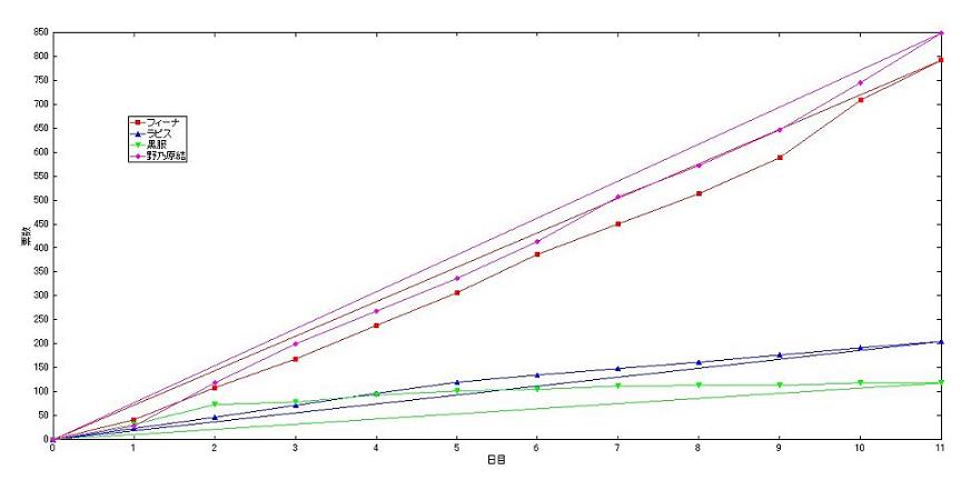
本戦ブロック結果〜(B&F編)

| 経過(毎夜20時) | 3/23 | 3/24 | 3/25 | 3/26 | 3/27 | 3/28 | 3/29 | 3/30 | 3/31 | 4/1 | 最終結果 |
| フィーナ・ファム・アーシュライト(夜明け前より瑠璃色な) | 42 | 108 | 169 | 239 | 307 | 387 | 450 | 513 | 588 | 709 | 792 |
| ラピス・メルクリウス・フレイア(Princess Holiday) | 23 | 46 | 72 | 97 | 120 | 135 | 148 | 161 | 177 | 192 | 205 |
| 黒服(夜明け前より瑠璃色な) | 32 | 73 | 79 | 93 | 101 | 105 | 111 | 113 | 114 | 118 | 119 |
| 野乃原結(月は東に日は西に) | 28 | 119 | 200 | 268 | 336 | 413 | 506 | 571 | 647 | 745 | 849 |
|
〜観戦記〜
本家あけるりキャラコン1位のフィーナ・ファム・アーシュライトが参加するブロック。初日は予想通り1位。だが2位にはキャラコンにエントリーできなかった黒服が入り込み、何やら波乱を予感させるスタートとなった。 二日目も順調に票を伸ばすフィーナ姫。だがそれを上回る超ハイペースで彼女を抜き去ったのが野乃原結先生。 票差を詰めるフィーナ姫。しかし結先生もまるぴん号を走らせて差を縮めさせない。 そんな中、完全に取り残されたラピス・メルクリウス・フレイアと黒服は地味に3位争いを続け、4日目でラピスが三位に浮上したがそれまで。 結先生とフィーナ姫の争いは終盤に入ると更に激化。投票システムが落ちるという事態まで起こるが、フィーナ姫はついに結先生には届かなかった。 事前予想を覆しての結先生の勝利。Aブロックのさっちゃんと同じく予選での苦戦キャラが本選では逆転するパターン再びである。 二日目からは姫様とのマッチレースとなったが最後まで首位をキープし、主導権を握り続けていたのはやはり大きかった。 対して姫様は結局のところ「本家で1位」というのが逆に作用したのではないかと。本家と違う展開を望みたいのは人の性かも知れない。 ラピスと黒服は完全にこの2人の割を喰らい途中からは票も横ばい気味で終わり、真価を発揮できなかったのは惜しまれる。 |

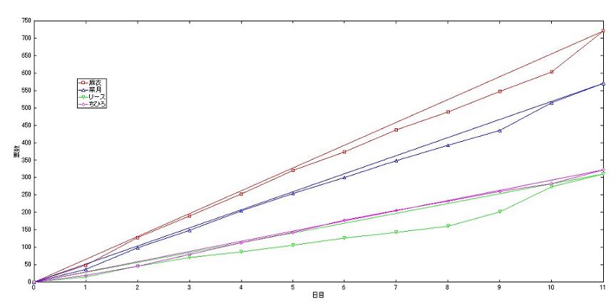
| 経過(毎夜20時) | 3/23 | 3/24 | 3/25 | 3/26 | 3/27 | 3/28 | 3/29 | 3/30 | 3/31 | 4/1 | 最終結果 |
| 朝霧麻衣(夜明け前より瑠璃色な) | 48 | 128 | 190 | 253 | 321 | 373 | 437 | 488 | 547 | 603 | 720 |
| 鷹見沢菜月(夜明け前より瑠璃色な) | 37 | 99 | 148 | 204 | 255 | 300 | 348 | 393 | 435 | 515 | 570 |
| リースリット・ノエル(夜明け前より瑠璃色な) | 14 | 46 | 71 | 87 | 106 | 126 | 143 | 160 | 201 | 273 | 310 |
| 橘ちひろ(月は東に日は西に) | 19 | 46 | 79 | 113 | 143 | 178 | 206 | 232 | 261 | 283 | 322 |
|
〜観戦記〜
本家あけるりキャラコンの2〜4位が入った激戦区はどうなるという期待の中スタート。初日から朝霧麻衣が飛ばし、後を鷹見沢菜月が追う展開となった。しかし麻衣は強い。 必死で追う菜月との差を確実に広げていく。三位には他の面子より人気が劣ると思われた橘ちひろが入り込む。 二日目こそリースリット・ノエルに追いつかれたものの、その後は着実に票を重ねて3位をキープ。 そして堅実に票を伸ばす麻衣は本家キャラコンの教訓を学び取ったのか終盤でも全く菜月に隙を見せることなく余裕でトップ通過。 低迷するリースは終盤ちひろを猛追したものの及ばす最下位に終わった。 麻衣が最初から最後まで安定してトップを確保。やはり本家でのまさかの2位が堪えただろう。油断を見せることはなかった。 二位は菜月。予選上位キャラは苦戦する傾向にあるが彼女に関しては無縁。だが麻衣との差は大きく次戦以降に課題を残した。 そしてこの面子の中ではもっとも地力が劣ると思われたちひろは善戦し、300票超の票を獲得して存在感をアピール。 リースは最初の躓きはともかく、本家4位の力を全く発揮できず、見かねたファンによる支援画像も効果が出るには遅すぎた。 |
