
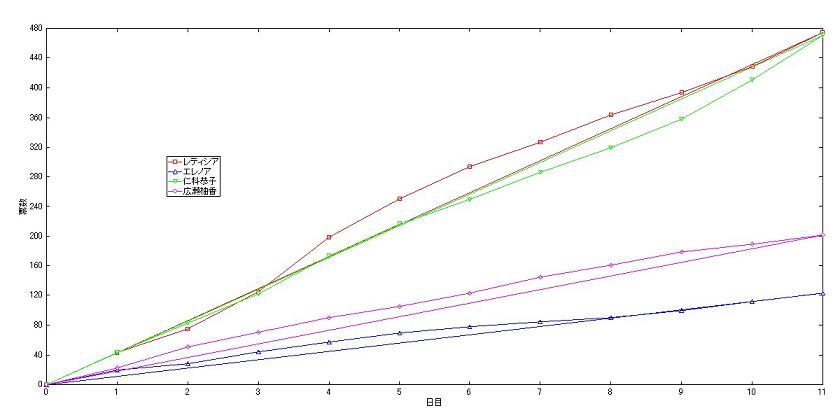
本戦ブロック結果〜(D&H編)

| 経過(毎夜20時) | 4/20 | 4/21 | 4/22 | 4/23 | 4/24 | 4/25 | 4/26 | 4/27 | 4/28 | 4/29 | 最終結果 |
| レティシア・ラ・ミュウ・シンフォニア(Princess Holiday) | 43 | 75 | 125 | 199 | 250 | 294 | 327 | 363 | 393 | 428 | 474 |
| エレノア・フォートワース(Princess Holiday) | 20 | 28 | 44 | 57 | 70 | 78 | 85 | 90 | 100 | 112 | 123 |
| 仁科恭子(月は東に日は西に) | 43 | 83 | 122 | 173 | 216 | 249 | 286 | 319 | 358 | 410 | 471 |
| 広瀬柚香(月は東に日は西に) | 23 | 51 | 71 | 90 | 105 | 123 | 145 | 161 | 179 | 189 | 201 |
|
〜観戦記〜
元祖オーガスト姫として優勝を狙うレティシア・ラ・ミュウ・シンフォニアの実力やいかに。 そして2位への争いはいかに。そういう注目の元開始されたこのブロック。 最初に飛び出したのは仁科恭子。初日は同点、そして2日目にはレティを抑えてトップへ。 再びの姫対先生対決。これを追走する広瀬柚香とエレノア・フォートワースはなかなか票が伸びない。 それでも柚香は地道に票を稼いでエルに倍近い差をつけていく。 姫の意地か、レティが恭子先生を逆転しそのまま差を広げてこのままかと思われた。しかし終盤恭子先生の追い込みが始まる。 この終盤の追い込みは一時順位を逆転させるところまで突き進んだが、最後の最後でレティが再逆転。辛うじてトップ通過を果たした。 Bブロックと同じ「姫対先生」になってしまったこのブロック。しかしレティは恭子先生をよく振り切ってメインヒロインとしての意地を見せた キャラコンではメイン最下位だった恭子先生がここまで戦えたのは「はにラジ」の影響だろう。 何せ2年に渡って司会をやっていたのだから忘れられることなく印象が根付くのは当然というべきか。 そう考えるとコンシュマー以外では出番ゼロの柚香や発売から時間の経ったエルが落ちるのは仕方ないかも知れない。 |

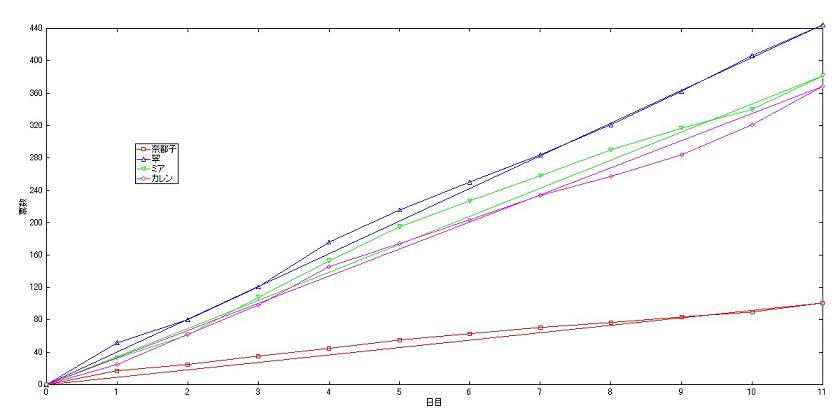
| 経過(毎夜20時) | 4/20 | 4/21 | 4/22 | 4/23 | 4/24 | 4/25 | 4/26 | 4/27 | 4/28 | 4/29 | 最終結果 |
| 諏訪奈都子(バイナリィ・ポット) | 17 | 25 | 35 | 45 | 55 | 63 | 71 | 77 | 84 | 90 | 101 |
| 遠山翠(夜明け前より瑠璃色な) | 52 | 80 | 121 | 176 | 216 | 250 | 284 | 321 | 362 | 406 | 444 |
| ミア・クレメンティス(夜明け前より瑠璃色な) | 33 | 61 | 108 | 153 | 195 | 227 | 258 | 290 | 317 | 340 | 381 |
| カレン・グラヴィウス(夜明け前より瑠璃色な) | 25 | 62 | 98 | 146 | 174 | 204 | 234 | 257 | 284 | 321 | 368 |
|
〜観戦記〜
最大の激戦区と予想された最後のブロック。そしてPS2版の影響やいかに。 初日はやはりPS2版で「ν」化した遠山翠がトップ。これをミア・クレメンティスとカレン・グラヴィウスが接戦で追う展開となった。 突っ走る翠。追加に負けるなとミアもヒロインとして食い下がり、差を広げさせまいとするが期待料込みの票を集める翠は着実に差を広げる。 さらにそれを追うカレン、そして取り残された形の諏訪奈都子という構図は膠着状態の雰囲気を持ちつつ終盤へ。 その終盤は翠がスパートをかけて下位の差を大きく広げ、カレンも手の届きそうなところまでミアを追い込む。 しかし結局最後はミアに振り切られ、サブキャラ対決はPS2版同様明暗が分かれる結果となってしまった・・・ 事前の予想では大混戦と思われたが、意外なことに逆転劇は一度も無く初日の順位のまま終わってしまった。 やはり開催前のPS2版発表によって翠とカレンがはっきり明暗が分かれてしまったことが最大の原因だろう。 元々攻略キャラのミアはPS2版発表の影響をあまり受けず、ぱにーに力で2位に滑り込むことが出来た。 翠が走る以上、カレンは勝ち抜けば次戦でさやかとぶつかってしまうというのもマイナスだったか。 そしてシードながら最下位だったなっちゃんは相手が話題性あり過ぎたのがやはり痛かった。 |
